Conocer qué es la ruta crítica te será de gran ayuda para la gestión de tus asignaciones y proyectos. Usualmente, manejar los tiempos de entrega de tareas suele ser un tema, pero, gracias a este método de gestión, serás consciente del tiempo que tendrás para administrar los plazos de entrega de tus asignaciones.
¿Qué plantea la metodología de la ruta crítica? El portal Economipedia sostiene que este método busca "asignar a cada actividad una fecha máxima y mínima de inicio y fin. De ese modo, se pueden estimar los plazos que cada tarea puede demorar, a lo mucho, para que se puedan cumplir los objetivos establecidos".
¿Tienes un proyecto y no sabes si te alcanzará el tiempo? Si quieres resolver esas preguntas y sorprender a tu jefe con tu exposición, estás en el lugar correcto…
En este post, conocerás qué es la ruta crítica, su importancia, funcionamiento y las etapas que conforman el procedimiento. Y, como bonus track, te ofrecemos una lista de recursos que te será de gran utilidad para gestionar tus proyectos. ¡Acompáñanos!
¿Qué es la ruta crítica?
La ruta crítica o diagrama CPM es un método usado para calcular el tiempo estimado en el desarrollo de un proyecto. También es conocido como “CPM” por sus siglas en inglés: “Critical Path Method”.
Este método de ruta crítica se puede aplicar en diversas espacios, como por ejemplo:
-
Académico
-
Administrativo
-
Planificación económica o social
-
Planificación de proyectos
Conocer qué es la ruta crítica te ayudará, en gran manera, a organizar actividades secuenciales que tengas en mente.
En cuanto a su historia, la ruta crítica fue creada por las firmas Dupont y Remington Rand en 1957. En ese contexto, se tenía el objetivo de encontrar el mejor mecanismo para aprovechar el tiempo y los costos de los proyectos. Y pues… lo lograron.
Algo fundamental que debes saber sobre lo que es la ruta crítica, es que está relacionada con una de las principales herramientas de gestión de proyectos que utilizan los jefes de proyecto: un diagrama CPM.
La técnica CPM te informa sobre el tiempo de cada tarea y el proyecto en general. Una vez que tienen esto mapeado, pueden comenzar a trazar la línea de tiempo en algún software de programación para gestionar la actividad.
¿Cuál es la diferencia entre método PERT y CPM?
Ahora sabes qué es la ruta crítica o método de la ruta crítica (CPM), pero, ¿qué es el método PERT?
La Técnica de Revisión y Evaluación de Proyectos), más conocido como “PERT” (Program Evaluation and Review Techniques), es un método gráfico muy famoso en el mundo de las tareas y actividades.
La principal diferencia entre PERT y CPM es que PERT fue diseñado para planificar proyectos con tiempos de actividad inciertos. Mientras que la técnica CPM fue diseñada para trabajos donde los tiempos de actividad están mejor estructurados.
En la práctica, ambos métodos de planificación se suelen mezclar y se complementan muy bien para tener mejores resultados. Al final, ambos tienen la esencia de lo que es la ruta crítica: escoger el camino más eficiente para tu proyecto.

Fuente: Pexels
¿Cuál es la importancia de la ruta crítica?
En cuanto a la importancia del método CPM, la ruta crítica te ayuda a identificar fechas límite importantes y las actividades que deben completarse a tiempo. También, te ayuda a saber qué actividades pueden retrasarse por temas de costos u otros factores.
Una vez que determines la ruta crítica de tu proyecto, tendrás una imagen clara del cronograma que debes seguir. Con este conocimiento, puedes cumplir con lo siguiente:
-
Establecer prioridades.
-
Plazos realistas.
-
Asignar las tareas críticas a los miembros más capaces de tu equipo.
Recuerda que el objetivo principal del método del camino crítico es calcular el tiempo más corto y eficiente para llevar a cabo una actividad. Al asumir un proyecto complejo, con muchas tareas dependientes, puede ocurrir que existan algunas actividades que no pueden comenzar o terminar hasta que otra haya iniciado o finalizado. Ante esta situación, un diagrama CPM te ayudará a ver la ruta con más claridad y a analizar la mejor opción.
Cuando uno lidera un proyecto complejo, es necesario saber la cantidad de tiempo máximo que tiene para cada tarea y, al mismo tiempo, cumplir con su fecha límite. Tener todos estos deadlines de forma gráfica en un esquema de flechas te ayudará a tomar decisiones más rápidamente.
¿Ahora ves la importancia de saber qué es la ruta crítica y aplicarla en tus proyectos?
Etapas del método de la ruta crítica
Ahora que manejas buena parte del concepto de lo que es la ruta crítica, es momento de que veas los pasos básicos del proceso de gestión de proyectos, siguiendo esta modalidad.
Según el portal Dropbox, el método de la ruta crítica cuenta con una serie de pasos básicos que debes seguir. Son los siguientes:
1. Enumeración de actividades
Lo primero que debes hacer en lo que es la ruta crítica es realizar un listado con todas las actividades y tareas que necesitas para finalizar el proyecto. Esto sería en lo que se conoce como una Estructura de Desglose del Trabajo (EDT)
¿Qué debes hacer durante esta etapa? Básicamente, debes agregar las tareas y actividades críticas o de nivel superior (es decir, olvida las asignaciones mínimas). Esto se plantea así, principalmente, por lo complejo que resultaría hacer un análisis de ruta crítica si se incluyen descripciones precisas y detalladas de todas y cada una de las actividades.
2. Identificación de las dependencias
Una vez que hayas enumerado tu lista de tareas en lo que será tu ruta crítica, debes determinar las tareas que sean dependientes entre sí (gracias a la estructura de desglose, esto será sencillo de ver), lo que te permitirá identificar los trabajos que puedan realizarse en paralelo.
En este punto, una tarea predecesora (o primera actividad) determina la fecha de inicio de la tarea que será la sucesora. ¿Cómo podrías determinar esto? Plantéate las siguientes preguntas al realizar la enumeración de las respectivas actividades:
-
¿Cuáles tareas debes completar antes de poder iniciar con la siguiente actividad?
-
¿Qué tarea viene luego de culminar esta actividad?
-
¿Qué tarea tiene que terminar al mismo tiempo que esta asignación?
Esta lista de tareas se conoce como secuencia de actividades, siendo utilizada para determinar la estructura de lo que es tu ruta crítica.
3. Creación de un diagrama de red
Una vez cubierto el punto con las actividades, es momento de convertir la estructura de desglose en un diagrama de red. Es decir, transformarlo en un diagrama de flujos, que muestre la cronología de las tareas.
La idea es que crees una caja para cada una de las tareas y, con el uso de flechas, puedas representar las distintas dependencias. Posteriormente, deberás añadir otros componentes al diagrama de red y verás el programa general del proyecto, pero no nos apresuremos.
4. Cálculo de la duración de las tareas
Ya tienes las actividades enumeradas, ¿cierto? Entonces, es momento de calcular los tiempos que te tomará la culminación de cada una de las tareas de la ruta crítica.
Obviamente, este tiempo debe ser una estimación, por lo cual debes basarte, tanto en tu experiencia como en la de tus compañeros de trabajo. De esta manera, podrás hacer una estimación bastante certera y precisa del tiempo que te tomará hacer cada actividad.
De igual manera, debes enumerar cada una de las tareas basándote en las fechas más tempranas en las que puedes comenzar y culminar tu labor, sin retrasar el proyecto en cuestión.
5. Cálculo de la ruta
Con el modelo en cuestión, es momento de calcular lo que es la ruta crítica como tal. Debes saber que se trata de la ruta más larga en cuanto a las tareas programadas para la conclusión del proyecto.
Este cálculo refleja las fechas/horas más tempranas y tardías en las cuales puedes comenzar cada una de las actividades, sin tener que retrasar el proyecto. Asimismo, verás el estimado de la cantidad de tiempo que te tomará realizar el trabajo.
Para calcular la ruta crítica tienes dos opciones:
-
La utilización de un algoritmo de ruta crítica, siendo el método más rápido y fácil.
-
El cálculo de la ruta crítica de forma manual.
Como no siempre tendrás la opción de utilizar un algoritmo, te detallamos cómo funciona el cálculo de la ruta crítica de forma manual:
-
Escribe las fechas de inicio y finalización de cada tarea: la primera actividad tiene como fecha de inicio 0, mientras que su fecha de finalización es la duración de la actividad en sí. De igual forma, la fecha de inicio de la siguiente actividad es la fecha de finalización de la asignación anterior; y así sucesivamente con todas las actividades de la lista.
-
Revisa cuál es la fecha de finalización de la última actividad de la secuencia y así podrás establecer cuánto dura la misma.
-
La secuencia de actividades que tenga la mayor duración es lo que se conoce como ruta crítica.
Al calcular la ruta crítica, tienes la opción de desarrollar el cronograma del proyecto como tal.
7. Cálculo de la holgura total
Tras el cálculo de la ruta crítica, tienes la opción de identificar y reconocer cuáles elementos son holgura total (es decir, aquellas actividades que pueden demorarse, sin necesidad de extender el proyecto) y cuáles pueden considerarse como "actividad crítica". Esta información te será de gran utilidad para lo siguiente:
-
Realizar un seguimiento rápido en cuanto a las fechas de inicio de ciertas tareas.
-
Reducir el tiempo del proyecto (en caso de ser necesario).
-
Administrar y gestionar las limitaciones de recursos, de una forma mucho más eficaz.
Eso sí, no debe confundirse holgura total con holgura libre. Hay sutiles diferencias:
-
Holgura total: la cantidad de tiempo que una actividad puede retrasarse, sin que se atrase la fecha de culminación del proyecto.
-
Holgura libre: el tiempo que se puede retrasar una actividad, sin necesidad de impactar en la que le sigue. Solo puede haber holgura libre si dos o más actividades tienen en común un sucesor.

Fuente: Pexels
¿Cómo hacer una ruta crítica en Excel?
Como te dijimos hace un rato, el método PERT se suele mezclar con el diagrama de una ruta crítica. Por ello, te enseñaremos cómo hacer este esquema de flechas en Excel:
1. El primer paso para hacer una ruta crítica en Excel, debes tener claro las actividades de tu proyecto. Esto es importante para que la red de actividades que hagas te sirva como referencia a largo plazo.
2. Debes tener claro las dependencias de las actividades, es decir, cada sucesión. Esta información debes ponerla en una columna de Excel.
3. Luego, ya en una hoja de Excel, debes crear un cuadro con un ID de la actividad, cuadros para llenar las actividades previas, duración y descripción de la actividad. Te dejamos un ejemplo de la planificación de actividades para que te puedas guiar:

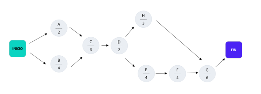
4. Siguiendo el método PERT, es hora de crear el esquema de flechas. Primero, debes crear un recuadro de “inicio” y “final”. Luego, crea círculos o cuadros por cada actividad que tengas.
5. Te recomendamos colocar la cantidad de duración debajo del nombre de la actividad para que tengas un mejor control de los tiempos de cada etapa

6. Para finalizar, debes ordenar cada actividad con la ayuda del cuadro anterior y añadir las flechas que sean convenientes para generar el esquema de flechas deseado.
7. Te dejamos un ejemplo de ruta crítica para que veas cómo se ve este diagrama de proyectos en una hoja de Excel.

Ahora que sabes qué es la ruta crítica, hemos preparado una plantilla de ruta crítica en Excel que te ayudará a implementar esta técnica CPM en tus proyectos. ¡Descárgala gratis!
Consejos para planificar proyectos
Aprender cómo hacer un proyecto es un desafío grande para cualquier persona. Por ello, queremos compartir contigo algunos consejos para planificar este tipo de actividades que estamos seguros que te servirán cuando te desempeñes como Project manager:
1. Conozca el proyecto de adentro hacia afuera
Si bien puedes tener claro qué es la ruta crítica, también es importante comprender los intereses y expectativas de tus clientes o público objetivo respecto al proyecto.
Debes conocer tu proyecto con mucho detalle, tanto fortalezas como posibles debilidades. Esto te ayudará a implementar soluciones más eficientes y rápidas a futuro.
2. Utiliza una herramienta de gestión de proyectos
La tecnología nos ha facilitado la vida de muchas maneras, también facilita la eficiencia de tus tareas. Por ello, los softwares de gestión de proyectos son de gran utilidad para sistematizar la información más rápido y facilitar el acceso a los miembros de tu equipo.
Si te animas a implementar uno de estos software, te recomendamos conocer más acerca de qué es Jira.
3. Ten la comunicación como base
Para ejecutar un proyecto sin problemas, es necesario que se produzca una comunicación eficaz y coherente entre todos los miembros de tu equipo. Algunos pueden no saber qué es una ruta crítica, por lo que debes tener siempre presente las capacitaciones y el diálogo constante.
Así como también, si hay cambios en etapas del proyecto o dentro de la empresa, todos deben estar enterados para evitar problemas a futuro.
Plantillas para planificar proyectos
Hasta este punto ya sabes qué es la ruta crítica y los pasos a seguir para armarla en Excel. Sin embargo, el mundo de los proyectos es tan complejo que podrías necesitar más formas de organización y planificación. Te regalamos algunas:
1. Diagrama de Gantt
Si estás buscando organizar, hacer seguimiento y planificar tus proyectos, entonces necesitas tener no 1, sino 2 plantillas de diagrama de Gantt como herramientas de flujo de trabajo.
Descarga nuestra Plantilla de diagrama de Gantt en Excel
2. Cronograma de proyecto
Si te gusta lo tradicional, esta plantilla de cronograma de proyecto te ayudará para lograr los objetivos de tu negocio.
Descarga nuestra Plantilla de cronograma para un proyecto
3. Calendario de instagram
¿Tienes un proyecto en mente que tendrá Instagram? Pues, debes tener en cuenta que, primero, se planifica una parrilla de contenidos para que todo sea un éxito.
Descarga nuestra Plantilla de calendario de Instagram
Por lo que ves, no solo basta saber qué es la ruta crítica, sino que es muy importante saber cómo utilizar un software como Excel para organizar tus proyectos (y tu vida).
Alejandro Castro, docente del curso online de Excel para no financieros, señala que “si tus intenciones no están relacionadas en finanzas, no debes preocuparte, pues tus habilidades de Excel te servirán para crear más herramientas que servirán para tu vida”.
Esperamos que toda esta información te haya sido de utilidad. Ahora estamos seguros que reconoces qué es la ruta crítica, en qué se diferencia del método PERT y cómo elaborarla en excel.
¡Este ha sido nuestro post! Si quieres saber más acerca de qué es la ruta crítica, inscríbete en nuestros Programas de capacitación de innovación, con los cuales conocerás la mejor forma de implementar un proyecto innovador dentro de tu empresa.
¡Éxitos!





