¿No sabes cómo hacer divisiones con punto decimal? ¿Sientes que te falta práctica para dividir mentalmente? Si respondiste sí en alguna de las preguntas, no te despegues de la nota porque te ayudaremos a ser el mejor en tu clase de matemáticas.
Para adelantarte un poco lo que verás, te contaremos qué es una división con punto decimal, cuáles son los tipos de decimales, cómo hacer divisiones con punto decimal, entre otros detalles importantes del tema. Además, si te quedas al final, tenemos un regalo para ti…
¿Ya tienes un papel y lapicero? ¡Comencemos!
¿Qué es y cuáles son las partes de una división?
Comencemos con lo primero, explicando qué es una división. En corto, podemos decir que una división es lo contrario a una multiplicación. De forma técnica, lo que uno logra dividiendo es averiguar cuántas veces el divisor está contenido en el dividendo.
Otro aspecto importante que debes conocer es cuáles son las partes de una división. Para hacerte la vida más fácil, te lo explicaremos brevemente:
-
Dividendo: es la cantidad a dividir. Normalmente, se encuentra en la parte de arriba y a la izquierda.
-
Divisor: es la cantidad por la que se divide el dividendo. Normalmente, se encuentra en la parte de arriba y a la derecha.
-
Cociente: es la cantidad que se obtiene al dividir el dividendo por el divisor. Debes colocarlo debajo del divisor.
-
Resto: es la cantidad sobrante de la división. Se coloca en la columna izquierda de la división.
También, si te preguntas cómo comprobar una división, hay una forma de hacerlo utilizando el resto. Solo debes multiplicar el dividendo con el cociente. A ese resultado, le sumas el residuo y debe salir el divisor. Esta es una de las mejores formas de comprobar una división, así que toma nota...
No te despegues del artículo que ya te explicaremos cómo hacer divisiones con punto decimal. ¡Ve trayendo papel y un lápiz!

Imagen: Elbibliote.com
¿Cuáles son los tipos de decimales?
Antes de explicarte cómo hacer divisiones con punto decimal, queremos hablarte un poco de los tipos de números decimales que verás a lo largo de tu travesía resolviendo problemas de matemática...
Decimal exacto
Empecemos con el más conocido de todos, el cual nos enseñan de pequeños en el colegio: el decimal exacto. Puedes identificar este resultado cuando una parte decimal exacta, es decir, con una cantidad finita de términos.
Para refrescarte la memoria, te dejamos un ejemplo de división con decimal exacto:

Imagen: Aulaaprende.com
Decimal periódico
El siguiente tipo de decimal, es el decimal periódico. Para refrescarte la memoria, tal vez recuerdas aquellas divisiones con un “sombrerito” en alguna parte del resultado. Pues bien, a eso le llamamos una división con decimal periódico.
Para identificarlo, solo debes ver si el resultado decimal mantiene una repetición constante de 1 o más números. Además. te comentamos que este tipo de división puede darse de 2 formas que debes diferenciar: el decimal periódico puro y el decimal periódico mixto.
-
Decimal periódico puro: es aquel decimal periódico que empieza después de la coma. Es decir, tiene el “sombrerito” en toda la parte decimal.
-
Decimal periódico mixto: es aquel decimal periódico que no empieza después de la coma. En cambio, tiene un número decimal exacto antes de que comience el decimal periódico.
Para ilustrar mejor estas divisiones con punto decimal, te dejamos algunos ejemplos de divisiones con decimal periódico:

Imagen: Aulaaprende.com
Decimal no exacto, ni periódico
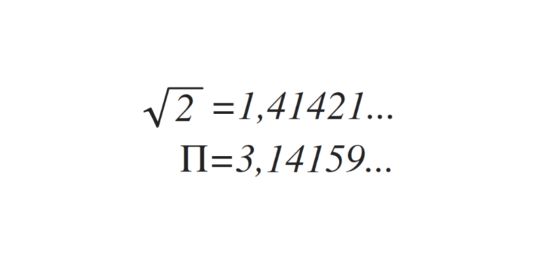
El último tipo de división que debes saber es aquel que no es exacto, ni periódico. ¿Esto qué quiere decir? Este tipo de división abarca aquellas divisiones que tienen cifras infinitas que no se repiten periódicamente.
Para que reconozcas esta definición, te dejamos algunos ejemplos. ¿Recuerdas la raíz cuadrada de 2 o el famoso “número pi”? Más conocido con este símbolo π. Pues estos números se caracterizan por no ser enteros o tener algún patrón numérico como si lo tiene el decimal peiódico puro.
De esta forma, los resultados de raíces o números irracionales como π, no encajan en ningún tipo de decimal anterior y, por ello, están en esta categoría. Te recomendamos tomar nota por si viene en tu examen...
Si aún te confunde esta última última categoría, estamos seguros que con una imagen despejarás tus dudas...

Imagen: Aulaaprende.com
¿Qué es una división con punto decimal?
Ahora bien, saber qué es una división es importante para aprender cómo hacer divisiones con punto decimal. Pero, ¿qué significa hacer una división con punto decimal?
Para explicar mejor ello, debemos refrescar tu memoria explicando qué es un punto decimal. Un punto decimal es un símbolo que se usa para separar la parte entera y la parte fraccionaria de un número.
De esta forma, para aprender cómo hacer una división con punto decimal, debes saber que no se hace con el mismo método tradicional que usas para dividir números enteros, al menos no cuando lo haces a mano…
En resumen, una división con punto decimal es cuando uno de los elementos de la división no es exacto, por lo que cuenta con un punto decimal. Ahora sí, quédate muy atento que en breves te explicamos cómo hacer divisiones con punto decimal con más detalles...
¿Cómo hacer divisiones con punto decimal?
En esta sección te explicamos cómo hacer divisiones con punto decimal de forma sencilla para que lo puedas aplicar en los problemas de matemáticas que tengas pendiente. ¿Ya tienes un papel y lápiz a la mano?
¡Empecemos!
¿Cómo dividir un número decimal entre un número entero?
El primer caso que explicaremos es cómo dividir un número decimal entre entero. Para esto, daremos ejemplos para ilustrar mejor el proceso. Al igual que una división de enteros, debes realizar la división como siempre antes de llegar a la coma.
Por ejemplo, se divide 75 entre 8 y da como resultado 9 con un resto de 3:

Imagen: Smartick.es
Luego, al llegar a la coma, debes tener cuidado, pues el siguiente número es el primer número decimal. En ese caso debemos añadir una coma en el cociente, en este caso, al lado del número 9:

Imagen: Smartick.es
Ahora solo te queda dividir 32 entre 8, de cociente nos queda 4 y el resto de esta división es 0.

Imagen: Smartick.es
Y así de simple, terminamos con este tipo de división. En el caso que el resto sea menor que el divisor, puedes añadir un 0 (“cero”) al cociente y al resto para poder seguir dividiendo.
¿Cómo dividir un número entero entre un número decimal?
Seguimos con la guía de cómo hacer divisiones con punto decimal. En este segundo tipo de división, te explicaremos cómo dividir un número entero entre un número decimal. Ve tomando nota…

Imagen: Smartick.es
Primero, debes añadirle al dividendo tantos ceros como decimales tenga el divisor. En este caso, solo hay un decimal, por lo que se aumenta un 0 al dividendo:

Imagen: Smartick.es
En caso la división sea inexacta, puedes añadir una coma en el cociente y un cero en el resto. Te dejamos un ejemplo de la división siguiendo los mismos pasos de siempre:

Imagen: Smartick.es

Imagen: Smartick.es
¿Cómo dividir un número decimal entre un número decimal?
Llegamos al tercer tipo de división con punto decimal: decimal entre decimal. En este caso, sigues la misma lógica de “correr ceros” en base a la cantidad de decimales que tenga el divisor. Te dejamos un ejemplo de división decimal:

Imagen: Smartick.es
El primer paso es “correr” la coma, tanto del dividendo como del divisor, hacia la derecha. seguimos con los ejemplos para ilustrar mejor esta lógica:

Imagen: Smartick.es

Imagen: Smartick.es
Luego, seguimos resolviendo la división con punto decimal como si fueran números enteros. Si el cociente sale un número grande ¡Tranquilo! Normalmente, cuando se divide decimal con decimal, esto suele suceder. Puedes comprobarlo con una calculadora si quieres asegurarte.

Imagen: Smartick.es
Y hasta este punto, ya sabes cómo hacer divisiones con punto decimal. Solo te queda seguir practicando para ser el mejor de tu clase. ¡Estamos seguros que lo lograrás!
¿Cómo hacer divisiones con punto decimal en Excel?
Si bien ya sabes cómo hacer divisiones con punto decimal paso por paso, no te caerá nada mal aprender cómo hacer divisiones con punto decimal en excel. Ve abriendo el software para que tengas todo listo y aprendamos juntos paso a paso...
1. Abre Excel y realiza un cuadro con 3 columnas y las filas que desees. Cada columna responderá a un elemento de la división. Estos son: dividendo, divisor y resultado.

Imagen: Crehana
2. El siguiente paso es sombrear toda la matriz que has realizado e ir “formato de número”. Es muy importante que coloques este formato de “número” pues ayudará al software a reconocer que harás una operación matemática.
Para poder hacer esto, puedes seguir la siguiente ruta:
Inicio > Número > Formato de número > Número.

Imagen: Crehana
3. Luego de ello, revisa tu problema de matemática y coloca el número que deseas dividir en la columna “dividendo”. Del mismo modo, coloca el divisor en la siguiente columna. Recuerda usar puntos y no comas a la hora de colocar tus datos ya que el programa solo reconoce los puntos para poder hacer la división.
4. La tercera columna de “resultado” debe tener una fórmula para que al colocar todos los datos anteriores, la respuesta salga de forma automatizada. Te dejamos un ejemplo de cómo nosotros lo hemos hecho:

Imagen: Crehana
5. A veces, ciertos problemas te piden ciertas cantidades de números en los decimales. Para ello, Excel tiene una opción para Un paso importante acá es la cantidad de decimales que deseas tener en tu resultado.
Puedes editar esto yendo a Inicio > Número > Aumentar decimales / Disminuir decimales según lo necesites.
6. Si deseas añadir más filas al cuadro de división en excel, lo puedes hacer haciendo clic derecho en la última fila y eligiendo la opción “insertar toda una fila”. No olvides copiar la fórmula en la columna de “Resultados” para mantener la automatización.
¡Y listo, ya sabes cómo hacer divisiones con punto decimal en Excel!
Además, te comentamos que si quieres agilizar este proceso podrás descargar nuestro formato de divisiones con punto decimal en Excel. ¡Es gratis, pasa la voz!
Ya llegamos al final de la nota... esperamos ahora tengas más claro cómo hacer divisiones con punto decimal. Además, recuerda que nuestro formato de excel de divisiones con punto decimal es una gran herramienta para que empieces a practicar todos los problemas de matemática que implican divisiones con punto decimal.
Antes que te vayas, queremos compartir contigo que en la plataforma de Crehana podrás encontrar varios cursos de Excel muy completos que te ayudarán a perfeccionar tus habilidades en este software de cálculo. ¡No dudes en inscribirte!
Si quieres seguir aprendiendo, te recomendamos nuestras notas sobre cómo hacer una regla de tres y, si sueles hacer cálculos de forma constante, nuestra calculadora de gastos es perfecta para ti… ¡Descargala gratis ya!
¡Nos vemos en las aulas!